粉體綜合特性測試方法及其特點:
發布時間: 2021-04-16 14:20:46 點擊: 1624
粉體綜合特性測試方法及其特點:
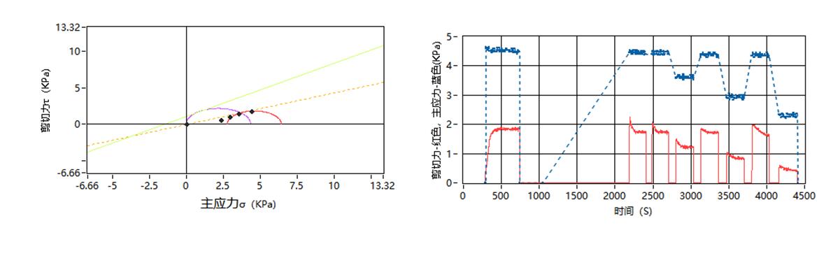
1.Jenike剪切法:
分析和測試如下數據:莫爾應力圓、內摩擦角、主應力、剪切力、屈服軌跡、穩態流、流動函數、開放屈服強度(無側限屈服強度)、內摩擦時間角、時效屈服軌跡、堆積密度、密度軌跡、壁摩擦角、附著力、壁剪切力、壁應力、壁軌跡、運動摩擦角、靜態摩擦角、料倉設計的料斗半頂角、卸料口徑、流與不流判定、流動因子、初始抗剪強度(內聚力)等.

2. 卡爾Carr指數法:
1. 松裝(自然堆積)密度bulk density 2. 振實密度 tap density
3. 安息角(休止角)Angel of repose 4. 質量流速mass flow velocity
5. 體積流速volume flow rate 6. 崩潰角 Angle of collapse
7. 平板角Flat Angle 8. 空隙率Voidage
9. 時間 time 10. 差角angle of difference
11. 分散性dispersibility 12.流動指數(卡爾指數和豪斯納比)Flow index
13.壓縮度 14.凝集度
15.均齊度 16.篩分粒度
3.旋轉圓筒法,
轉鼓法即將粉體顆粒填充轉鼓中讓其緩慢轉動,測定固定轉速下每旋轉一圈顆粒發生坍塌的次數,次數越大,流動性越好;反之越小,流動性越差。此方法反映了顆粒流動的穩定性、臨界轉變及坍塌規模.和質量流率.滿足歐洲藥典要求.
轉鼓中顆粒表面因流速不同從上到下可分為 3個區域:即稀疏流動區、致密流動區和蠕變區;剪切率的變化對顆粒流動特征和運動狀態具有決定性影響;顆粒在轉鼓中的運動有一個顯著特點,即可以大致分為流動表層和靜止底層兩個區域,將顆粒物質從靜止狀態發展到流動、再由流動通過堵塞轉變為靜止的全過程地統一起來。通過調節轉鼓的旋轉速度,可獲得顆粒的流動過程與流動狀態.
根據轉鼓中顆粒流動層厚度或自由表面傾角,獲得流動層的剪切速率,進而計算得到顆粒物質的流動性. 不同轉速和轉鼓直徑下從中心到自由表面的致密流動區域內顆粒的剪切變形速率都具有線性變化特征,平均剪切率,反映顆粒流動的平均剪切變形能力,顆粒尺寸、形狀、摩擦因數及流動狀態等因素的影響。

4.單軸壓縮法,
直接分析側向屈服強度從而獲得流動函數來評定
本文章摘自網絡,用于交流和學習使用,如涉及侵權,請聯系刪除
